中文题目:对化工过程中一类统一非线性特性的建模与仿真
论文题目:Modeling and Simulation of a Class of Unified Nonlinear Characteristics in Chemical Processes
录用期刊/会议:The 40th Youth Academic Annual Conference of Chinese Association of Automation (YAC2025) (CAA A类)
录用/见刊时间: 2025.3.28
作者列表:
1)万欣玥 中国石油大学(北京)人工智能学院 控制科学与工程专业 硕22级
2)王 珠 中国石油大学(北京)人工智能学院 自动化系教师
3)刘佳璇 中国石油天然气股份有限公司勘探开发研究院
摘要:
随着人工智能的快速发展,神经网络已成为工业系统辨识中的关键工具。静态非线性特性如死区、饱和、负载和迟滞现象在执行器、被控对象及传感器中普遍存在,其中传感器中的迟滞现象尤为显著。本文探讨了利用神经网络对静态非线性特性进行建模与预测的方法,重点研究了一种包含死区、饱和与迟滞等典型非线性特性的静态NL模型,评估了BP神经网络与RBF神经网络在静态非线性预测中的表现,并通过优化激活函数的选择来提升模型的泛化能力与预测精度。研究结果为工业系统中复杂非线性行为的建模提供了理论依据与方法参考。
背景与动机:
化工过程具有显著的时变性和非线性特征,这些特性源于质量守恒、能量守恒与化学反应的共同作用,同时还受到组件故障和外部随机扰动等因素的影响。尤其在高温、高压以及易燃易爆等危险环境下,非线性特性可能导致系统性能下降甚至引发不稳定,严重威胁生产安全。因此,研究化工过程中非线性特性的成因及其补偿方法,不仅对于提升控制系统的稳定性和性能具有重要意义,更是保障工业生产安全的迫切需求。特别是由于执行器故障引起的饱和、死区和时滞等非线性问题,会显著影响控制系统的响应和稳定性,亟需深入研究并加以解决。
设计与实现:
在实际系统中,多个非连续非线性常同时存在,只有将其统一描述,才能在系统辨识过程中降低难度并提高模型准确性。因此,本研究对包含多种非线性特性的统一结构进行了调研。S.Rejeb等学者提出了具有统一非线性特性的模型,如图1所示。
图1 统一非线性特性
该模型将死区、饱和、加载和迟滞四种典型非连续非线性结合起来,通过设置不同的参数值
,可以抽离出9种不同的非线性组合,该模型的数学表达式如下

该模型构建了一个统一描述死区、饱和、加载和迟滞等典型非连续非线性特性的结构,通过调整参数组合可实现多种非线性环节的表达,并在系统辨识领域取得了突破性进展。然而,该模型的数学表达式过于复杂,非线性特性的组合多样性及参数交叉增加了计算难度。因此,针对多种非线性特性的系统,仍需探索更为合理的系统辨识方法。
主要内容:
本文将迟滞非线性分为上升段和下降段两种情况进行分析。此外,为解决神经网络无法描述分叉复杂曲线的问题,提出了带切换机制的静态神经网络模型,利用BP和RBF两个神经网络切换机制来描述覆盖整个数据范围的曲线,避免了单一网络无法拟合分叉曲线的局限。对静态统一非线性中包含迟滞环的情况建立了如下模型:

图2 包含迟滞的静态统一非线性特性的仿真模型
其中,y(t-1)为前一时刻的输入信号;y(t)为当前时刻的输入信号;h(t)为符号函数,其表达式为

A-NN为上升段神经网络模型;B-NN为下降段神经网络模型;
为上升段神经网络输出的预测值;
为下降段神经网络输出的预测值。如图2所示的网络模型中,包含两个神经网络模型,由于迟滞非线性的存在,输出不仅由当前时刻输入决定,还取决于前一时刻的输入,因此信号在进入神经网络前,首先要与前一时刻的输入信号进行数值上的比较。若当前时刻的输入大于前一时刻的输入,则符号函数输出1,闭合A-NN输入通道的开关,将当前时刻的输入信号送入上升段神经网络中进行训练;反之,则符号函数输出0,闭合B-NN输入通道的开关,将当前时刻的输入信号送入下降段神经网络中进行训练。
实验结果及分析:
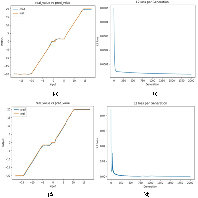
本文基于神经网络对由死区、饱和、加载、迟滞等典型非线性组成的NL模型进行了研究,验证结果如图3所示,BP神经网络能够对NL模型进行较好的预测,实际输出曲线能够对期望的输出曲线进行较高程度的拟合,但在NL模型的拐点处,预测值和实际值仍存在误差,网络无法对拐点进行很好的预测。
图3 基于NL模型的BP神经网络的训练结果
如图4所示,RBF神经网络对NL模型具有很好的预测结果,实际输出曲线与期望输出曲线的拟合程度高,对NL模型的拐点也能做到很好的逼近。
图4 基于NL模型的RBF神经网络的训练结果
结论:
本文研究了化工过程中静态统一非线性特性的建模与仿真,采用BP神经网络和RBF神经网络对死区、饱和、负载和迟滞等非线性组合特性进行训练与预测。通过选择合适的激活函数,优化了两种神经网络模型的训练性能和预测精度。实验结果表明,虽然RBF在预测精度和拐点拟合方面优于BP,但BP由于具备较强的全局学习能力,更适合捕捉动态非线性变化。相比之下,RBF结构更简单、训练速度更快,在计算资源受限的情况下具有更高的效率。未来的研究将进一步探索基于真实工业数据的建模方法,并引入RNN和LSTM等时序神经网络,以提升模型的适应性与预测精度。
作者简介:
王珠,男,博士,中共党员,现任中国石油大学(北京)副教授、硕士生导师。2016年至今在中国石油大学(北京)自动化系工作,现任中国自动化学会人工智能技术与工业应用专业委员会委员、中国化工学会信息技术应用专业委员会青年委员、北京人工智能学会理事。
在科研与社会服务方面,研究兴趣为系统辨识与智能控制、炼化过程动态异常诊断与故障预警、大数据质量预测与综合优化。近年来,主持重点流程工业企业的高级智能报警项目数项以及国家自然科学基金项目,已发表高水平学术论文30余篇。