中文题目:面向NOMA-D2D蜂窝网络的D2D配对和信道选择的势博弈方法
论文题目:A Potential Game Approach for D2D Pairing and Channel Selection for NOMA-enabled D2D Cellular Networks
录用期刊/会议:IEEE Wireless Communications Letters (中科院大类3区,JCR Q1)
作者列表:
1)高煜洲 中国石油大学(北京)人工智能学院 计算机科学与技术 本20
2)暴嘉荣 中国石油大学(北京)人工智能学院 计算机科学与技术 硕21
3)王亚奇 中国石油大学(北京)人工智能学院 计算机技术 硕21
4)赵 杰 北京信息科技大学 计算机学院 硕21
5)陈 莹 北京信息科技大学 计算机学院 教授
6)黄霁崴 中国石油大学(北京) 人工智能学院 教授
摘要:
在支持非正交多址(NOMA)的 D2D 蜂窝网络中,地理位置分散的设备会争夺有限的信道,这使得 D2D 配对和信道选择成为一个具有挑战性但尚未探索的研究问题。为此,我们从博弈论的角度提出了一个优化问题,其目标是在满足地理和性能约束的同时最大化数据传输速率,并从理论上证明了这是一个严格势博弈(EPG)。为了找到这样的解决方案,我们提出了一种名为基于博弈的 D2D 配对和信道选择(GDPCS)的算法,并证明了它的收敛性。此外,模拟实验验证了 GDPCS 算法的有效性,并证明它优于现有的最先进方法。
背景与动机:
随着移动用户的快速增长,无线连接正经历着指数级的增长。有效利用闲置移动设备可以缓解用户向云端上传数据时造成的传输延迟。在支持设备到设备的蜂窝网络中,用户无需使用基站即可向邻近地区的其他用户传输数据,从而获得无处不在的服务和应用。虽然设备到设备(D2D)用户可以重复使用蜂窝用户信道,但这会使D2D用户受到跨层干扰。合理分配信道资源以减少用户干扰是当前面临的一个严峻问题。此外,用户的位置并不固定,如何灵活选择合适的协作者以保持整个系统的负载平衡也是一个重要问题。这也是D2D用户需要研究的重要问题。
此外,无线连接的激增也造成了频谱资源的短缺。非正交多址接入(NOMA)可以利用有限的资源区块为更多用户提供服务,具有支持大规模连接和提高系统容量的优势,能更好地改善端到端服务质量。然而,大多数关于D2D和NOMA技术的研究都同时关注解决资源分配问题,而忽略了D2D配对问题,而且这些研究没有充分考虑到存在多个D2D发射器(DT)同时向单个D2D接收器(DR)传输数据的情况。为解决上述问题,本文考虑了基于上行 NOMA的D2D蜂窝网络,该网络支持多个DT向单个DR传输数据,且多个D2D配对可重复使用同一上行信道。为了保证高质量的服务,我们的目标是最大限度地提高用户数据传输速率。在保证用户数据传输速率的前提下,合理的D2D配对和信道资源选择是D2D服务成败的关键,也是本文讨论的重点。
主要内容:
本章考虑在蜂窝网络基于两层上行链路NOMA的D2D数据传输场景。用户分为两种类型:蜂窝用户和D2D用户。两种用户均匀分布在基站(Base Station, BS)周围。场景如图一。

图一 场景模型图
在本场景中,第一层为蜂窝用户使用NOMA技术向BS传输数据。第二层为D2D用户,具体又可以分为请求用户和空闲用户。每种用户都对应一个移动设备。请求用户重用分配给蜂窝用户的信道,并使用NOMA传输协议向对应的空闲用户传输数据。假设初始蜂窝用户被随机分配给一个信道。此外,被占用的信道可以被多个请求用户重用。为方便区分,本文将请求用户的设备称为D2D发射器(D2D Transmitter, DT),空闲用户的设备称为D2D接收器(D2D Receiver, DR)。多个DT可以同时向一个DR传输数据,由一个DR和一个或多个DT组成的集合称为 D2D组(D2D Group, DG)。本章假设每个请求用户都是理性且自私的,只关心自己的利益。然而,由于空闲用户和信道资源的有限性,每个请求用户的选择会对整个系统有较大的影响。本文的研究重点是在上述数据传输场景下进行最优用户配对和信道决策,并设计相应的算法来实现最优解。为了便于研究分析,假设所有用户设备均配置了单天线收发信号,处于半双工模式并且均能应用理想的 SIC 技术。
通信模型:
(1)蜂窝用户信道模型
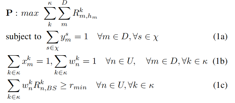
根据上述描述,多个请求用户可以与选择k信道的原始蜂窝用户来重用同一信道。蜂窝用户在基站侧的信干燥比(SINR)为:
![]()
其受到的干扰分为两个部分,第一部分是来自同一信道上其他蜂窝用户的干扰,其中部分干扰可以通过 SIC 消除;第二部分是来自复用信道资源的其他请求用户,具体可以表示为:
![]()
![]()
用户与基站(BS)之间的信道增益可表示为:
![]()
并规定
。
(2)D2D用户信道模型
请求用户在空闲用户的信道干燥比(SINR)为:
![]()
其受到的干扰为:
![]()
![]()
![]()
信道增益为:
![]()
![]()
并规定![]()
b. 传输模型:
蜂窝用户un选择k信道的数据传输速率为:
![]()
![]()
请求用户dm在k信道上选择空闲用户hm的数据传输速率为:
![]()
c. 问题建模:
从系统的角度来看,本文的目标是通过选择合适的D2D配对、信道来最大化整个网络中所有用户的传输速率,可表示为:

其中,条件(1a)表示每个D2D用户只能选择一个合作者进行连接,条件(1b)表示每个CU或每个D2D用户只能选择一个信道进行传输。约束条件 (1c) 限制了最小数据传输速率。
d. 解决方法:
针对此问题,我们提出了一个基于势博弈的解决方法。我们将这一问题表述为一个 NOMA-多D2D用户配对和信道选择博弈Γ ={M, am, Bm}。通过进一步分析我们找到了势函数,即可证得该博弈为严格势博弈,也说明了该博弈存在纳什均衡。基于此,我们利用最佳响应机制可以求得每个用户在已知其它用户决策后的最佳决策,在此过程中每个用户都可以独立决定自己的策略,有效地降低了复杂性,提高了整体效率,具体算法如下。

实验结果及分析:
参数分析
图二显示了CU数量和信道数量对用户总传输速率的影响。

图二 全部用户总传输速率 vs. 信道数
图三表明了算法的收敛性。

图三 效用 vs. 迭代次数
对比实验
图四显示了D2D用户数量与全部用户总传输速率的关系,也对比了五种算法的性能。

图四 D2D用户数量 vs. 全部用户总传输速率
结论:
在这篇文章中,我们以总体传输速率最大化为目标构建了一个支持D2D的蜂窝网络,并研究了基于NOMA技术的多D2D用户配对和信道选择策略的优化问题。因此,我们将该问题建模为多D2D用户配对和信道选择博弈,并证明我们的博弈是一个势博弈,至少有一个纳什均衡。我们通过模拟实验将我们的算法与现有算法进行比较,证明了该算法的最优性。
第一作者简介:
高煜洲,中国石油大学(北京)计算机科学与技术专业本科四年级学生,入选本硕一体化培养计划,导师黄霁崴教授。研究兴趣包括移动群智感知、边缘计算、激励机制设计和博弈论等。以第一作者发表SCI期刊论文2篇,主持本科生科研创新训练计划课题1项,获得亚太地区数学建模竞赛本科生组国家一等奖等总计国家级奖项4项、省部级奖项4项。
通讯作者简介:
黄霁崴,教授,博士生导师,中国石油大学(北京)人工智能学院副院长,石油数据挖掘北京市重点实验室主任。入选北京市优秀人才、北京市科技新星、北京市国家治理青年人才、昌聚工程青年人才、中国石油大学(北京)优秀青年学者。本科和博士毕业于清华大学计算机科学与技术系,美国佐治亚理工学院联合培养博士生。研究方向包括:物联网、服务计算、边缘智能等。已主持国家自然科学基金、国家重点研发计划、北京市自然科学基金等科研项目18项;以第一/通讯作者在国内外著名期刊和会议发表学术论文70余篇,其中1篇获得中国科协优秀论文奖,2篇入选ESI热点论文,5篇入选ESI高被引论文;出版学术专著1部;获得国家发明专利6项、软件著作权4项;获得中国通信学会科学技术一等奖1项、中国产学研合作创新成果一等奖1项、广东省计算机学会科学技术二等奖1项。担任中国计算机学会(CCF)服务计算专委会委员,CCF和IEEE高级会员,电子学报、Chinese Journal of Electronics、Scientific Programming等期刊编委。